搜索
贵金属纳米材料
功能纳米材料
特色产品
登录
注册
订单
我的购物车
我的收藏
400-1823-968
hzwybiotech@163.com
全部商品
网站首页
特色产品
特殊原料1
特殊原料B
特殊原料
热卖产品
本月热卖
年度热卖
活动专区
折扣促销
团购活动
免费试用
定制服务
大宗询价
产品咨询
科研服务
测试服务
科研绘图
论文查重
论文润色
积分商城
科研助手
科研资料
未易图库
会议推荐
资源链接
关于我们
公司简介
合作实验室
合作高校
合作企业
合作医院
联系我们
加入我们
首页
PEG原料
双异PEG系列
NH2-PEG-R
NH2-PEG-Silane
产品目录
NH2-PEG-SH
NH2-PEG-OH
NH2-PEG-COOH
NH2-PEG-MAL
NH2-PEG-Silane
NH2-PEG-BOC
加入收藏
NH2-PEG-Silane
产品编号:
产品包装:
包装:
1 g
数量
-
+
单价:
¥1500
¥
1500
加入购物车
产品说明
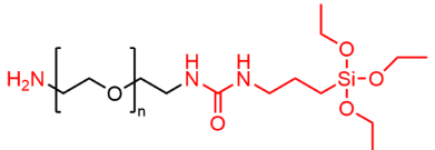
中文名称
氨基
聚乙二醇硅烷
英文名称
NH
2
-PEG-Silane
基本信息
CAS
号
分子量
2K, 3.4K, 5K
纯度
95%
以上
结构式
保存条件
-20°C
冷冻保存
为您推荐
{"17":"1125"}