顶部广告

谷胱甘肽荧光探针 probe 1

  • 产品编号:
  • 产品包装:
数量
- +
单价: ¥2000 1500
加入购物车

产品说明

中文名称

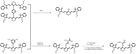
谷胱甘肽荧光探针 probe 1

英文名称

GSH fluorescent probe probe 1

基本信息

分子式

C44H47F6N2S+

分子量

749.34

光谱特性

Ex: 780 nm, Em: 805 nm

溶解性

溶于DMSO

结构式

image.png

示意图

image.png

适用范围

体外、细胞水平。

image.png

保存条件

4°C避光保存,有效期三个月

注意事项